您的當前位置:首頁 > 產品知識 > 更多產品知識 > 顆粒在介質中的干涉沉降——均勻粒群的干涉沉降
作者:紅星機器 發布時間:2018-10-11 15:48:41
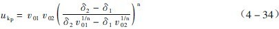
由密度、粒度和形狀相同或相近的顆粒組成的粒群,它們在介質中沉降時,由相互摩擦、碰撞等原因產生的機械阻力,主要取決于粒群在介質中的容積濃度或松散度。已經提出許多個計算均勻粒群干涉沉降速度的公式,其中,有代表性和應用較廣的是里亞申科公式,即
![]()
式中 vct和v0———顆粒的干涉沉降和自由沉降速度,m/s;
———粒群的容積濃度和松散度,小數;
n———指數,與顆粒的粒度和形狀有關(見表1和2)。
按摩爾朗德(Moreland)等的研究,n值還與雷諾數有關,其關系示于圖1中。雷諾數按
計,v0為自由沉降末速度。
表1 n值與粒度的關系(形狀為多角形)

表2 n值與形狀的關系(顆粒粒度1mm)

公式(4-26)適于粒群容積濃度不大,較大和較小粒度之比值小于1.5的情況。
另一類vct的方法是把沉降著的粒群看作是一種過濾介質,在其中,自下而上通過液流。所提公式適于溶積濃度較大,或松散度較小的情況。公式如下:


群將發生按性質不同的分層。其有下述幾種情況:

上述情況和臨界上升水速經試驗證實。但在解釋這些現象產生的原因上有不同的觀點。
里亞申科認為,懸浮體是按各粒群的相對密度分層的,相對密度大的粒群粒在下,相對密度小者在上層。按此觀點,得出
![]()

中國礦業學院和中南工業大學的學者作了研究,分別提出了稍有不同的臨界上升水速公式,下述公式與實測值較為接近,即
![]()
粒群懸浮體分層的事實和上述論點,對分級和重選過程中礦粒的松散分層有一定的實際意義。
本篇內容于 2018-10-11 15:48:41 已補充更新如果您想了解我們的產品,可以隨時撥打我公司的銷售熱線或點擊咨詢!![]()
相關設備
推薦閱讀
TOP169鄂破機價格及型號參數鄂破機
TOP257鄂破機一小時能產多少噸物料鄂破機
TOP3時產1000噸石料生產線設備有哪些?多少錢?石料生產線價格
TOP4140圓錐破時產多少石子圓錐破 圓錐破碎機
TOP5小型碎沙機多少錢一臺?碎石機
TOP6一套碎石機大概需要多少錢碎石機
TOP7生產雷蒙磨粉機(雷蒙磨)的廠家磨粉機
TOP869破碎機一小時處理多少立方石子?破碎機 69顎式破碎機
TOP91060顎破型號有哪些?什么價?顎破 顎式破碎機
TOP10每小時產200噸的石子破碎機多少錢一臺?破碎機
TOP11時產500噸石子生產線配置方案_廠家報價生產線
TOP12銷量較好的雷蒙磨粉機型號有哪些雷蒙磨粉機
換一換 ![]()
想讓資深工程師為您設計生產方案?想獲取全套設備優惠報價單?請留言,專業經理即刻開始為您一對一服務!(不用擔心信息泄露,我們將為客戶提供信息保密服務!)
來廠考察即可獲取資深工程師為您設計方案
多機型現貨可選,簽訂合同,2天內發出
售后團隊親臨現場,指導設備安裝、試車,完成交付
跟蹤砂場運營情況,提供生產運營指導,保障砂場快速盈利
制砂機也稱打砂機,主要用于對石屑、鵝卵石、青石等物料的制砂生產,設備質量影響著客戶的投資高低、后期盈利,但設備價格的高低...
201809.11
查看詳情在礦石中晶形為菱面體,晶面常彎曲成馬鞍狀的通常是白云石,屬三方晶系的碳酸鹽礦物,多呈塊狀、粒狀集合體,一般來說大部分為白...
201809.11
查看詳情山東某石料廠,有一條日產四五百噸的破碎生產線,因機制砂需求增加,企業想在破碎生產線中加入制砂機,來對鵝卵石進行制砂生產,...
201809.10
查看詳情同時對砂石料相關部門嚴格執行環保、質量、安全等法規標準沒有放松,落后的砂石產能繼續退出,砂、石開采規范進一步完善,供給端...
201809.10
查看詳情花崗巖是一種火山爆發的熔巖,屬于酸性巖漿巖中的侵入巖,經磨練形成質地堅硬且耐磨性強石料,抗風化、吸水性低,色彩可保持百年...
201809.08
查看詳情俗話說:“工欲善其事,必先利其器”想要把砂石料處理好,怎能沒有好的工具,特別是近些年砂石料需求量增多,要求越來越嚴,配一...
201809.07
查看詳情河南紅星礦山機器有限公司 總部地址:中國鄭州高新區紅松路梧桐街交叉口
工程師免費設計方案已有162位獲得心儀的方案
算一算 搭配一條合適的生產線需要多少錢?
點擊獲取報價